Florin Lab IKN-UKD

Thomas published in IJNS

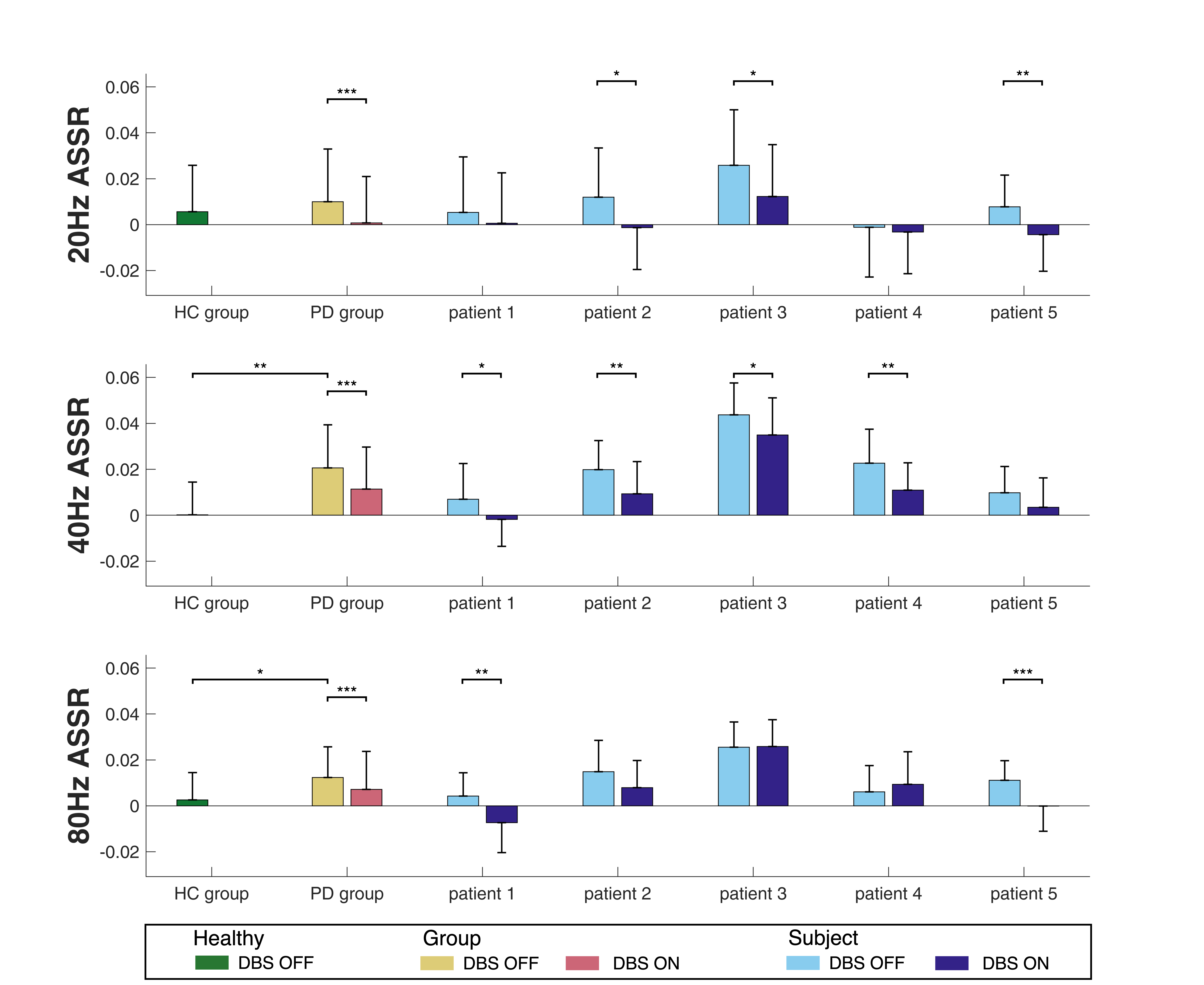
A manuscript by Thomas and colleagues investigating auditory processing in Parkinson’s disease was just published by the International Journal of Neural Systems. They report a pathological effect of Parkinson’s disease on auditory steady state responses at varying frequencies. Their results further indicate that subthalamic nucleus deep brain stimulation (STN-DBS) contributes to counteracting this pathological effect.

Read more about it from the full paper.

Experiment overview - *canonical correlation analysis (CCA) is used to extract auditory steady state responses (ASSR) from electroencephalography (EEG) recording.*
Experiment overview - canonical correlation analysis (CCA) is used to extract auditory steady state responses (ASSR) from electroencephalography (EEG) recording.
Results - *Parkinson's disease increases ASSRs, DBS contributes to reducing ASSRs towards a normal range.*
Results - Parkinson’s disease increases ASSRs, DBS contributes to reducing ASSRs towards a normal range.
Previous post
Bahne published in Brain
Next post
The Florin Lab is going to the 3rd Expert Summit on DBS in Würzburg!